Braess's paradox
Braess’s paradox is the observation that adding an additional option to a system with rational actors might lead to a worse situation for everyone.
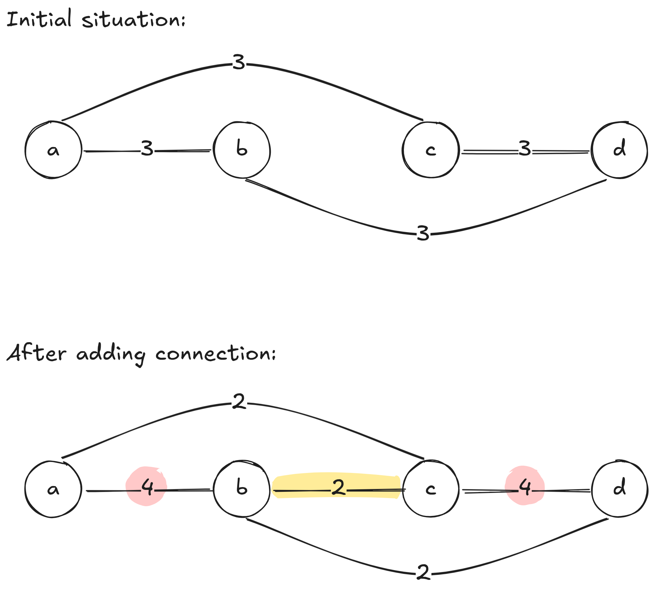
The original discovery was made by mathematically modelling a road network, then adding additional roads to it and showing that this results in slower overall traffic flow. There has been empirical evidence of the effect in the wild, e.g. when the 42nd Street in Manhattan was closed and it did lead to less traffic jams in the area, instead of more.

The counterintuitive effect can be explained in terms of multiplayer prisoner’s dilemma: every driver selfishly tries to find the shortest possible route, resulting in a Nash equilibrium. While the Nash equilibrium is stable (noone has an incentive to change routes, if there is no currently faster route for anyone) it does not necessarily have the optimal overall performance.